Hydraulic cylinder:
A hydraulic cylinder consists of a housing containing a piston and piston rod. Its operation is based on Pascal’s Law as previously described. Hydraulic fluid is pumped into one side of the cylinder, causing the piston to move in a straight line. A hydraulic cylinder can transmit very high forces. The following image shows the three situations of a double-acting cylinder:
- A: the piston with the piston rod is in the farthest left position. 0
- B: hydraulic fluid is supplied via the left connection of the cylinder. The fluid pushes the piston to the right. The fluid on the right side of the piston is discharged from the cylinder via the right connection.
- C: the piston is in the farthest right position.

On the piston rod side (right in the above image), the surface area where the hydraulic fluid pushes against the piston is smaller.
The following image shows the mechanism of an excavator. The combination of hinges, levers, and individually operable hydraulic cylinders ensures that the excavator bucket is very maneuverable. The cylinders are of the double-acting type: by changing the fluid direction to and from the cylinder, the piston moves in the opposite direction.
In addition to double-acting cylinders, there are also:
- Single-acting cylinder: this type of cylinder has one hydraulic connection. A spring behind the piston provides the return stroke.
- Cylinder with hydraulic cushioning: the piston movement is dampened at the end of the stroke.
- Telescope cylinder: a number of nested cylinders achieve a long working length when extended. In the retracted state, the installation space is relatively small thanks to the telescopic design.

Calculating stroke volume:
Due to the different cylinder designs, their applications are versatile: when the piston rod needs to exert a lot of force, the diameter of the piston rod is larger, as well as the piston, cylinder, and fluid volume in the cylinder. The dimensions depend on the installation location and the application for which the cylinder is used. We encounter the following dimensions:
- piston diameter (D)
- rod diameter (d)
- piston stroke (s)
The image below shows a cylinder with the piston and piston rod inside. The explanation of the abbreviations is shown next to the image.

Explanation:
- D = piston diameter
- d = rod diameter
- s = stroke
- Az = piston area
- Ar = ring area
- Ast = rod area
- Vz = piston side volume
- Vr = rod side volume
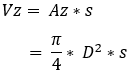
With the dimensions of the piston and cylinder, we can calculate the stroke volume on the piston side (Vz). For this, we need the area of the piston (Az) and multiply this number by the stroke. If Az is unknown, we can calculate the area using the following formula:

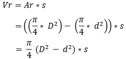
To determine the stroke formula on the right side of the piston, we need to subtract the area of the piston rod. The following formula emerges:

Using these formulas, we will calculate the stroke volume of the cylinder below.

We fill in the data to calculate the stroke volume on the piston side in fully extended condition in the formula. The final answer is in cubic meters because it involves a volume. We convert the last answer into scientific notation.

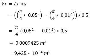
Next, we fill in the data on the rod side to calculate what the fluid volume is there with a fully retracted piston. We arrive at a lower fluid volume because this space is occupied by the piston rod. We also convert this answer into scientific notation.

For cylinders with a continuous piston rod of the same diameters, determining the flow rate is easier: the incoming flow rate is equal to the outgoing.

Calculating system pressure:
The pressure in the cylinder to push the piston to the right acts on the piston area Az. We can calculate this pressure if the force is known that the piston exerts on the object to be moved. This force amounts to 10 kN (10,000 N). For convenience, we use the remaining data of the piston and cylinder from the previous paragraph.
With the following formula, we calculate the pressure in the cylinder. The force F is known (10,000 N), but the piston area is still unknown.

So we first calculate the piston area:

Now that we know the piston area, we can calculate the pressure:

By dividing F (Newtons) by A (square meters), we obtain an answer in Newtons per square meter [N/m82]. This is equivalent to Pascal, since 1 Pa = 1 N/m82.
By dividing the number of Pascals by 100,000, we obtain the number of bars. This can be seen in the answer to the above formula.
Calculating flow rate:
We can calculate the flow rate by dividing the already known data by the time in which the piston makes the full stroke (s). We set this time (t) to 5 seconds.
We calculate the flow rate using the following formula:


Calculating power:
Finally, we can calculate the required power to move the cylinder from left to right. For this, we multiply the system pressure by the flow rate. The calculation is shown below.

Related page: