Introduction to Planetary Gear System:
A planetary gear system is a type of transmission that consists of three main components:
- Sun Gear: This is the gear located in the center of the system.
- Planet Gears (smaller gears): These are interconnected on a carrier and rotate around the sun gear. Typically, there are three or four planet gears.
- Ring Gear: This is a gear with internal teeth, surrounding the planet gears.
In a planetary gear system, the planet gears move around the sun gear while also rotating on their own axes. This motion is guided by a planet carrier, also known as a carrier, which holds the planet gears in place. Depending on which component is stationary and which component provides drive, the planetary gear system alters the output speed and torque with different gear ratios and directions.
A planetary gear system is used to enhance power transmission: The system can handle large forces despite its relatively small size.
Planetary gear systems are commonly used in vehicles where the speed is reduced and torque is increased, such as in automatic transmissions, hub reductions, and the mechanism in the starter motor for internal combustion engines.
In a car with an automatic transmission, the planetary gear system provides the different gears.
Calculating Gear Ratios in a Simple Planetary Gear System:
A planetary gear system consists of at least one set of gears with each a sun gear (S), a carrier (C) with three satellite gears, and a ring gear (R). An illustration of a gear set is shown alongside.
With a planetary gear system, one or more gear ratios can be achieved:
- one part is driving (driving)
- one part is driven
- one part is locked (stationary)
- or 2 parts are coupled: i = 1 : 1

On this page, we look at the ratios that arise from the different number of teeth on the carrier, satellite gears, and ring gear. To get started, we focus on the top part of the planetary gear system (above the dotted line) and the number of teeth are known:
- ring gear: 100 teeth (above the line 50)
- sun gear: 40 teeth (above the line 20)
- satellite gears: each (100+40)/2 = 70 teeth (from the line to midpoint 35)

Below, the six transmission possibilities of a single planetary gear system are shown. On the left side of the images, a diagram shows where the incoming energy (e.g., from the engine) enters the system, and departs from the right side of the system. Next to the diagrams, the top views of the system are displayed, where the forces are indicated with red vectors and a connecting line. Where the connecting line touches the Y-axis (midpoint of the sun gear), the system is fixed to the housing.
Option 1:
- Sun gear locked
- Ring gear is driving
- Carrier is driven
Calculate gear ratio:


Option 2:
- Sun gear locked
- Carrier is driving
- Ring gear is driven
Calculate gear ratio:


Option 3:
- Ring gear locked
- Carrier is driving
- Sun gear is driven
Calculate gear ratio:


Option 4:
- Ring gear locked
- Sun gear is driving
- Carrier is driven
Calculate gear ratio:


Option 5:
- Carrier locked
- Sun gear is driving
- Ring gear is driven
Calculate gear ratio:


Option 6:
- Carrier locked
- Ring gear is driving
- Sun gear is driven
Calculate gear ratio:


Calculating Gear Ratios in Multiple Planetary Gear Systems:
A conventional automatic transmission works by shifting between different planetary gear systems, see the section automatic transmission.
Below is a schematic representation of four sets of planetary gear systems in an automatic transmission. There are three systems for the forward gears and one for reverse. The red line indicates the direction of forces through the automatic transmission; from the left (engine side with torque converter) through the entire section with planetary systems (black lines) to the propshaft coupling. If you closely examine the systems in the transmission, you will see that the above illustration is derived from this. In the transmission, four systems are used, each with an S, C, and R (sun gear, carrier, and ring gear).
The planetary gear systems are symmetrical above and below the centerline. To gain insight into what happens when a gear is engaged, the driven parts in the planetary system of the image below are also highlighted in red:

In the image above, first gear is engaged. To engage first gear, a clutch must be engaged. This clutch is shown in blue and locks the ring gear to the housing. With the clutch engaged, and one driven side of the planetary system, one part must also turn. The sizes of the components determine the gear ratio (think of a small driving gear and a large driven gear; the large gear will turn more slowly. If the large gear has twice as many teeth as the small gear, the ratio would be 1:2).
The dimensions of the ring gear, sun gears, and planet gears are different in each of the four systems so that multiple gear ratios can be achieved.
Later on this page, images, explanations, and calculations illustrate how the planetary gear systems in the automatic transmission are shifted during driving and shifting.
We will now look at the upper half of the transmission, as the gearbox is symmetrical from the center point. From this image, we will later determine the transmission ratios on the page. Above the four systems, the system number is labeled; I II, III and R (reverse).
Each system has its own S, C, and R. It’s not labeled in the image, but if you look at the image at the top of this page, you will recognize it. Later on this page, this will be considered known.
In the lower left of the image, clutch “K4” is shown. This clutch ensures that two sides of the system are connected at the same time; System 3 is connected to systems 1 and 2. No other clutches are engaged, so the entire system is “locked.” The engine speed is transmitted 1 to 1 to the wheels of the vehicle, without there being a gear ratio; this is called direct drive. This is in the fourth gear.
In cars with a manual transmission, fourth gear is also often direct drive. Here too, the engine speed is transmitted 1 to 1 to the wheels.
The difference in speed between the input shaft (engine or torque converter) and the output shaft (vehicle) is called the gear ratio.

First gear is engaged.
By locking the carrier of system I (using clutch K1), force can be transferred from the sun gear to the carrier. The carrier is connected to the drive train, so there is now a direct connection between the engine – via the planetary gear system – to the transmission. The dimensions of the components in the planetary gear system determine the gear ratio.
The red lines indicate the force flow. The blue lines indicate what is fixed when clutch K1 is engaged. Not only the carrier of system 1 is fixed, but also the carrier of system 3 and the sun gear of system R are blocked.

As explained, clutch K1 is engaged when shifting into first gear. When shifting to second gear, clutch K1 will be disengaged and another clutch will be engaged. This is shown in the table.
When shifting to second gear, clutch K2 will be engaged. The ring gear of system 2 is then locked. Since the sun gear of system 2 is locked and the sun gear is driven, the carrier will turn. This carrier will, in turn, drive system 1. In system 1, this time the ring gear is not locked, but driven by another system. The output speed (vehicle line) will, in that case, be lower than when in first gear.

Calculating the Gear Ratio of First Gear:
According to the table below, clutch K1 is closed. The ring gear is thus locked. The driving force from the engine goes through the sun gear and via the carrier to the vehicle. The ratios are also given, namely 1.00 for the sun gear and 3.00 for the ring gear of system 1. We will calculate with these.
The basic formula for calculating the gear ratios of planetary gear systems is as follows:
c9 stands for omega and is the angular velocity while rotating.
Since we are calculating with system 1, we put a 1 behind each. In subsequent systems, this number changes. Especially in multiple systems (where one system drives another), it must be noted like this, as it will otherwise become very confusing.
Below is the diagram of first gear. For clarity, the S (sun gear), C (carrier), and R (ring gear) are drawn in blue.


We now fill in the basic formula for the first system. The omegas are unknown and the carrier is stationary. So we can’t fill anything in there. The S1 and C1 are known, so we fill those in. R1 is stationary, so we cross it out. In the formula, we do not fill anything in for this either.

You can now see that the gear ratio of first gear is 4.
In automotive technology, this never happens, as it would always be slightly above or below 4, otherwise, the gears would always hit each other on the same surfaces (extra wear). But here it’s easier to calculate as an example. Also, you now see that the omegas are known!
c9S1 = 4
c9C1 = 1
These omegas are the angular velocities of the axes in the system. In first gear, the omegas are not really significant, but in calculating double-driven systems (which will become clear shortly in second gear), it is important.
Calculating the Gear Ratio of Second Gear:
When calculating the gear ratio of second gear, it must be taken into account that the first system is double-driven; the sun gear of system 1 is driven by the engine and the carrier is driven by system 2. A different vehicle speed arises compared to the situation where the ring gear was stationary (as in first gear).


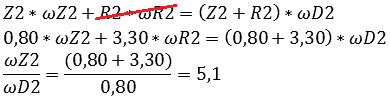
We always start the calculations with the system that is singly driven. In this case, that is system 2, as it is only driven by the engine via the sun gear.

The reduction that the second system performs is 5.1. This is not the reduction between the engine and wheels but between the engine and system 1. We will now calculate the gear ratio of system 1 with the data from system 2, because the omegas are now known:
c9S2 = 4.1
c9C2 = 0.8
If you now look at the diagram, you see that the sun gears of systems 1 and 2 are connected. Also, the carrier of system 2 and the ring gear of system 1 are connected. The omegas of the connected parts are the same, so we can say:
c9S2 = c9S1 = 4.1
c9C2 = c9R1 = 0.8
It’s very important to look closely at this! Always follow the lines in the diagram.
We’ll now fill in these omegas in the calculation for system 1.

We can now determine the final overall gear ratio by dividing the incoming omega by the outgoing omega. If we look at the diagram, we see that the omega of the sun gear of system 2 is incoming and the omega of the carrier of system 1 is outgoing.

The total gear ratio of the 2nd gear is 2.52.
Calculating the Gear Ratio of Third Gear:
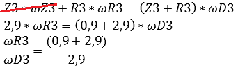
When calculating the third gear, it must be considered that all three systems work together. Always start with the singly driven system. In this case, it is the third:


The sun gear of system 3 is locked, so it does not participate. Then fill in the rest of all the values:

Thereby we obtain:

Then we move to system 2. The omegas known in system 3 are filled in in the calculation of system 2:


Now we move to system 1. Here too, the known omegas are filled in:

Ultimately, we get:

That means the total gear ratio of third gear is 1.38.
Calculating the Gear Ratio of Fourth Gear:
In the fourth gear, clutch K4 is closed. This means the sun gears of systems 1, 2, and 3 are simultaneously coupled to the engine. The entire system is now locked. All omegas are equal to each other.


If all omegas are equal to each other, no gear ratio is possible. The engine speed is directly transmitted to the wheels. This is called direct drive.
Calculating Gear Ratios for Reverse Gear:
The reverse gear is often achieved by locking the carrier. This is also the case in this system. By locking the carrier, the incoming motion is reversed and the output shaft rotates in the opposite direction. In this system, the sun gear is driven and the carrier is driven.


When calculating the ratios, just like in first gear, there is no need to account for other systems: the reverse gear is a simple system. Below are the formulas where eventually the omegas of the ring gear and the sun gear are divided by each other. The negative number (-2.54) indicates that reverse gear is engaged.
