Introduction:
This page explains how to balance reaction equations. A reaction equation is a formula in which the substances before and after combustion are entered (for example C and O2). After combustion these substances will have formed CO2.
Next, this reaction equation is used to determine how many kilograms of air are needed to burn 1 kilogram of the substance in question.

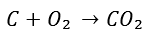
Reaction equation C and O2:
Below you can see the reaction equation of C and O2. Further on it is explained how filling in this equation is done.

We start with the top line. In the equation, the carbon atom (C) together with the oxygen atoms (O2) is on the left-hand side of the arrow. These substances need to be burned. The arrow shows how the bond between the substances looks after combustion. In the equation you can now see that one carbon atom and two oxygen atoms together form carbon dioxide (CO2).
For the next step it is important to determine the atomic masses of C and O2. Each isotope of a chemical element has a different atomic mass, which is expressed in grams per mole. The atomic masses of carbon and oxygen are given:
C = 12g/mol
O = 16g/mol
First, the reaction equation for the combustion of C and O2 is given:
Next, the atomic masses are written down. Under the C we place 12 and under O2 (16×2), because O2 consists of two oxygen atoms of 16 grams per mole each.
On the right-hand side of the arrow, the C atom is added to the oxygen atoms. This adds up to 44. In the next step we calculate how many kilograms of oxygen are needed to burn one kilogram of carbon. We do this by dividing the entire equation by 12.

After dividing by 12, the following numbers remain:
What it actually says now is:
We want it in kilograms and not in grams per mole. In principle, you can simply replace g/mol with kg, because you can see them as ratios.
An example:
You have to add 1 liter of cleaning agent to 10 liters of water. (One tenth cleaning agent per liter of water.) That means that per 10 hectoliters of water you must also add 1 hectoliter of that agent. Or 10 centiliters of water and 1 centiliter of cleaning agent, but then you would have to mix this 100 times in a row to again end up with 10 liters of water per 1 liter of cleaning agent. The ratios remain the same.
The conclusion is that grams per mole and kg may be interchanged, as long as no other quantities appear in the formula!
In the equation you can now see that 2.67 kg of O2 is needed to burn 1 kg of C. In doing so, 3.67 kg of CO2 is formed. You can easily check whether a calculation error has been made by comparing the numbers on the left and right of the arrow. By adding the numbers on the left of the arrow you get 3.67, the same as the number on the right of the arrow, so this has been done correctly. Especially with long reaction equations it is useful to check yourself in this way.
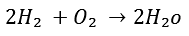
Reaction equation H2 and O2:
We set up the reaction equation of H2 and O2 in the same way as above with CO and O2. Balancing the reaction equation now goes a bit differently.

We start again at the beginning; H2 and O2 will, after combustion, be formed into H2O, but that is where the first problem arises:
If you were to simply add H2 and O2 together, you would get H2O2. That is not water but hydrogen peroxide. That is obviously not what we want. This is the point at which the reaction equation must be balanced, because in the end H2O has to be formed. What must be done now is to double the number of hydrogen atoms. We do this as follows. By now placing a 2 in front of H2, you therefore have (2xH2) = 4 hydrogen atoms.
The same applies on the right-hand side of the arrow, but now the O is also multiplied by 2. Because the following applies:
2H2O = 2(H2O) = 2xH2 and 2xO2.
So you now again have the two oxygen atoms back, only including 4 hydrogen atoms. This shows that you cannot simply add the atoms together, because then a chemical compound of hydrogen peroxide would be formed instead of water.
The next step is to calculate the atomic masses. For the next step it is important to determine the atomic masses of H and O2. The atomic masses of carbon and oxygen are given:
H = 1g/mol
O = 16g/mol

There is now 32 kg of O2 needed to burn 4 kg of H2. After combustion, 36 kg of H2O is formed. By now dividing the entire equation by 4, it can be determined how many kg of O2 is needed to burn 1 kg of H2:

In the end, it becomes:
So to burn 1 kg of hydrogen, 8 kg of oxygen is needed.