Thermistor:
A thermistor is a component with a resistance value that depends on the temperature. The English term is a combination of the words thermal and resistor. Thermistors are used in automotive technology as temperature sensors and overload protections.
Thermistors can be divided into two categories: those with resistance values that increase with rising temperature (PTC) and those with resistance values that decrease with rising temperature (NTC). The terms NTC and PTC are explained further below.

PTC Resistor:
A PTC resistor is a resistor with a Positive Temperature Coefficient. They are primarily used as temperature protection in electrical devices. As the temperature increases, the resistance also increases. The relationship between resistance and temperature in a PTC resistor is linear. That means the resistance rises proportionally with the temperature increase. This is visible in the straight line shown in the image below.
PTC resistors are used in devices like mirror heaters. Without this protective resistor, a constant (maximum) voltage of 12 volts and current of 1.25 Amps would remain on the heating elements once switched on. These would eventually burn out, as the supplied current continues to heat them. By adding a PTC resistor in the positive wire, overload can be prevented. This resistor monitors the temperature of the heating element. When the mirror heater is switched on during the winter, the PTC resistor will initially not function. The temperature is too low. The full 12V / 1.25A flows through the heating elements, causing the mirror glass to heat up quickly initially. (The moisture will then disappear from the mirror glass as quickly as possible).
As the temperature rises, the resistance increases (see the image below). When the mirror glass reaches a temperature of 20 degrees, the PTC will have a resistance value of 20 Ohms. The current has now decreased from 1.25A to 0.6A. This can be calculated using Ohm’s Law:
I = U / R
I = 12 / 20
I = 0.6A
Thus, the current is now halved, leading to a slower warming of the mirror glass. When the glass temperature increases to 40 degrees, the PTC has a resistance value of 40 Ohms. The current has now dropped to 0.3A.
At a maximum temperature of 60 degrees Celsius, the resistance of the PTC resistor will be 60 Ohms. The current is now only 0.18A. The heating power is now constant and will not increase further due to the low current. Therefore, the temperature of the mirror glass remains constant and cannot overheat. The above values are fictional and are purely used as an example to make it as clear as possible. Each manufacturer will use their own currents (and thus resistance values) for their mirror heaters.
There are also other components in cars that have a PTC resistor, such as a window motor. If the window mechanism works very hard (due to high mechanical load) or the window is opened and closed many times in a row, the temperature of the window motor increases. This electric motor is also monitored by a PTC resistor. When the temperature becomes too high, this signal is sent to a control unit via the PTC resistor. This unit then temporarily cuts the current supply to the motor until the temperature has dropped. This is purely a protection to prevent overheating.

NTC Resistor:
An NTC resistor is a resistor with a Negative Temperature Coefficient. These resistors are used as temperature sensors for coolant and intake air, among others. As the temperature increases, the resistance decreases (see figure). Often, a constant voltage between 1 and 5 volts is applied to the sensor. At a low temperature, the resistance value will be high, and the voltage will therefore be low. As the temperature rises, the resistance decreases and the voltage increases.
The increase in voltage is used by the control unit for the characteristics, which determines, among other things, the injection quantity of the injectors. The value may also be forwarded to the coolant temperature gauge on the dashboard, or the outside air temperature in the climate control display.

The relationship between resistance and temperature in an NTC resistor is not linear. That means the resistance does not decrease proportionally with temperature increase. This is visible in the curved line in the figure. This line is called a “characteristic” and is logarithmic.
Determining the NTC Characteristic:
The NTC characteristic can be partly sketched by determining the corresponding resistance value at three temperatures. For this, the temperature sensor can be measured with an ohmmeter while it is hanging in a heated kettle.
Points can be plotted for different temperatures and resistance values. Lines can be drawn between these points (see figure below). This can already give a good estimation of how the characteristic will behave below 20, and above 100 degrees Celsius.

It is interesting to delve deeper into this. With the three measured resistance values, the exact resistance can be determined over an infinite temperature range using the “Steinhart-Hart equation. The characteristic can also be accurately determined. At the bottom of this page, an Excel file can be downloaded with which the characteristic can be formed.
The Steinhart-Hart equation is:
- T is the temperature in Kelvin;
- R is the resistance at T in Ohms;
- A, B, and C are the Steinhart-Hart coefficients which depend on the resistance values at a specific temperature.
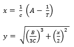
To find the resistance of a semiconductor at a given temperature, the inverse (R) of the Steinhart-Hart equation must be used. This equation is as follows:

where x and y are determined by the following formulas:

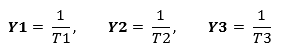
To find the A, B, and C coefficients of the Steinhart-Hart, three resistance values (R1, R2, and R3) at a temperature (T1, T2, and T3) must be determined. These should be looked up in the specifications of the semiconductor or measured with a thermometer and an ohmmeter. L1, L2, and R3 are calculated by determining the inverse of the resistance values. Y1, Y2, and Y3 are determined by calculating the inverse of the temperature in Kelvin.


Next, the Steinhart-Hart coefficients (A, B, and C) can be calculated:

Filling in these coefficients and ln (R) gives the correct temperature. When the above formulas are filled in, this gives:



Filling in all data in the Steinhart-Hart equation:

gives:

By changing the variable “T” to the desired temperature, the calculation will show that at T of 120 degrees Celsius, the resistance is 122 Ohms.
The formula can be filled with the three previously measured temperatures to draw the characteristic:
- 2500 Ohms at 20°C;
- 626 Ohms at 60°C;
- 200 Ohms at 100°C.