Introduction to arc flash:
Lithium-ion batteries in electric vehicles are made up of individual cells. Each cell has a voltage that depends on the state of charge. A fully charged cell is about 4.2 volts and at a low state of charge about 3 volts. The cells are connected in both series (higher voltage) and parallel (higher capacity). The voltage of an HV battery pack can therefore range between 200 and 1000 volts, which can result in arc flash currents of thousands of amperes. When working on HV systems, arc flash must be taken into account when working under voltage.
In HV systems an arc flash can occur when a short circuit is created with tools, insulation is damaged, or when work is carried out under voltage and conductors come into contact. An arc flash is an electrical discharge through the air between two conductors with a voltage difference. Normally, air is an insulator, but when the electric field strength is high enough, the air becomes ionized. As a result, the air temporarily becomes conductive and current can flow through it. In an arc flash, the following occurs:
- A bright flash of light;
- A very high temperature (can exceed 10,000 °C) with heat radiating into the surroundings;
- Evaporation of insulation and copper;
- A pressure wave caused by the rapid expansion of the heated air, ejecting metal particles.

A short circuit or arc flash can cause serious injury. The severity of the injury or damage depends on the system voltage, the available short-circuit current, the duration of the arc flash and the distance to the arc flash.
The video below shows an experiment in which electrical conductors are separated by air, but where a sufficiently high source voltage causes the air gap to create an electrical short circuit between the conductors, resulting in an arc flash.
At the start of the work, when there is a risk of contact or arc flash, precautions must be taken and protective equipment must be used. When there is a risk of an arc flash during work on the HV system and it is not clear in advance how great that risk is, NEN 9140 stipulates that an arc flash calculation must be performed if:
- the analysis has shown that there is a danger of an arc flash, but the incident energy is not yet known;
- no upstream protection is present (in the form of a fuse or protective switch);
- the fuse is rated at more than 630 A at a voltage of more than 60 volts DC.
The incident energy (IE) is the amount of thermal energy per unit area (cal/cm²) released by an arc flash at a given distance from the working point. The higher the incident energy, the heavier the required arc-rated protection.
- IE < 1.2 cal/cm²: second-degree burns are unlikely to occur in an arc flash incident. No arc-rated PPE are required in addition to the usual PPE;
- IE 1.2 – 8 cal/cm²: if the incident energy cannot be sufficiently reduced, it is recommended to use arc-rated PPE (such as a face shield) and to apply additional safety procedures in the workplace;
- IE > 8 cal/cm²: up to about 8 cal/cm² many guidelines speak of a “moderate” risk. Above this level, the severity of burns increases sharply, so thicker and often fully covering protection (PPE) is required.
- With increasing IE, the reduction of safety risks must always be considered, for example by dismantling parts of the battery pack and thereby reducing the voltage.
An arc flash calculation determines the magnitude of the short-circuit current, how long the arc flash can last and how much incident energy is released at the working distance. Based on the result of the calculation, the EV high-voltage specialist determines whether working under voltage is responsible, which personal protective measures are required and whether additional measures are needed.
Arc flash calculation: calculating the incident energy (1):
When work is performed on an HV system that is live, an arc flash calculation must first be carried out using the data below in order to determine the risk and the necessary protective measures.
| Gegevens: | |
|---|---|
| Capaciteit | 5000 mAh |
| Nominale spanning cel | 3,6 volt |
| Spanning volledig geladen cel | 4,0 volt |
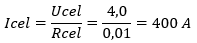
| Inwendige weerstand cel | 0,02 ohm |
| Cellen in serie | 200 cellen |
| Cellen parallel | 20 |
| Serviceplug | Deelt de batterij in tweeën (daarom factor 0,5) |
| Tarc | 2,0 seconden |
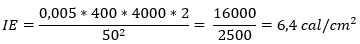
| D | 50 cm |
| Symbolen en betekenissen: | |
|---|---|
| Ibf | Botte kortsluitstroom in A |
| Iarc | Vlamboogstroom in A (Iarc = 0,5 * Ibf) |
| IE | Vlamboogenergie op werkafstand in cal/cm^2 |
| Vsys | Systeemspanning in V |
| Tarc | Vlamboogduur in s |
| D | Werkafstand in cm |
In the four steps below, the incident energy is calculated (according to J. Fontaine and C. McCluer) using the above data. Tarc and D are given.
1. Calculate the system voltage (Vsys) by multiplying the number of series-connected cells (Nserie) by the cell voltage (Ucel). When the service plug splits the battery pack in two, we multiply everything by 0.5:

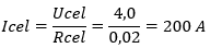
2. Calculate the short-circuit current per cell (Icel). The short-circuit current per cell is the maximum current that a single battery cell can deliver when the positive and negative terminals are directly connected to each other:
3. Calculate the bolted short-circuit current (Ibf). The bolted short-circuit current is the maximum current that can flow when the positive and negative terminals of a battery are connected directly to each other without additional resistance:

4. Calculate the incident energy (IE). The incident energy is the amount of thermal energy released by an arc flash at a given distance from the working point:
The incident energy determines whether there is a risk of burns, how severe those burns may be and which personal protective equipment (PPE) is required. A commonly used threshold value is 1.2 cal/cm^2. Above this value, the unprotected skin of a person can suffer a second-degree burn.
The higher the voltage, current or fault duration, the higher the incident energy. The greater the distance, the lower the incident energy.
Arc flash calculation: calculating the incident energy (2):
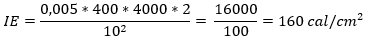
In the previous calculation, the working distance was 50 cm. In this example, the working distance is reduced to 10 cm and the incident energy is calculated again.
| Gegevens: | |
|---|---|
| Capaciteit | 5000 mAh |
| Nominale spanning cel | 3,6 volt |
| Spanning volledig geladen cel | 4,0 volt |
| Inwendige weerstand cel | 0,02 ohm |
| Cellen in serie | 200 cellen |
| Cellen parallel | 20 |
| Serviceplug | Deelt de batterij in tweeën (daarom factor 0,5) |
| Tarc | 2,0 seconden |
| D | 10 cm |
| Symbolen en betekenissen: | |
|---|---|
| Ibf | Botte kortsluitstroom in A |
| Iarc | Vlamboogstroom in A (Iarc = 0,5 * Ibf) |
| IE | Vlamboogenergie op werkafstand in cal/cm^2 |
| Vsys | Systeemspanning in V |
| Tarc | Vlamboogduur in s |
| D | Werkafstand in cm |
Vsys, Icel and Ibf do not change, because the battery data are the same. We enter the working distance into the incident energy formula:
The incident energy is inversely proportional to the square of the distance to the arc flash. This means that when the working distance becomes smaller, the energy per square centimetre increases sharply. If the distance is reduced from 50 cm to 10 cm (five times smaller), the incident energy becomes 25 times higher (from 6.4 to 160 cal/cm^2).
Arc flash calculation: calculating a safe working distance:
When the incident energy may be a maximum of 1.2 cal/cm², the minimum safe working distance can be calculated. This is done using the data in the table below. The first three calculations (Vsys, Icel, Ibf) remain the same, only the data are different. In calculation 4, the working distance D is determined using the known IE.
| Gegevens: | |
|---|---|
| Capaciteit | 4500 mAh |
| Nominale spanning cel | 3,6 volt |
| Spanning volledig geladen cel | 4,0 volt |
| Inwendige weerstand cel | 0,01 ohm |
| Cellen in serie | 100 cellen |
| Cellen parallel | 10 |
| Serviceplug | Deelt de batterij in tweeën (daarom factor 0,5) |
| Tarc | 2,0 seconden |
| IE | 1,2 cal/cm^2 |
| Symbolen en betekenissen: | |
|---|---|
| Ibf | Botte kortsluitstroom in A |
| Iarc | Vlamboogstroom in A (Iarc = 0,5 * Ibf) |
| IE | Vlamboogenergie op werkafstand in cal/cm^2 |
| Vsys | Systeemspanning in V |
| Tarc | Vlamboogduur in s |
| D | Werkafstand in cm |
1. Calculate the system voltage (Vsys):

2. Calculate the short-circuit current per cell (Icel):
3. Calculate the bolted short-circuit current (Ibf):

4. Calculate the working distance D. The value 1.2 cal/cm² is often used as the limit at which unprotected skin can suffer a second-degree burn. By entering this threshold value for the incident energy (IE) in the denominator of the formula, the distance can be determined at which the energy does not exceed this safe value.


Related pages: