Topics:
- Introduction
- Body resistance
- NEN 9140 (working on vehicles)
– Persons and designations
– Procedures
– Live working
– Arc flash - NEN 3140 (working on electrical installations)
– Persons and designations
– High voltage (HV) and extra-low voltage (ELV)
– Working on charging equipment and outdoor conditions
– Relationship between NEN 3140 and NEN 9140 - NEN 1010 (installing installations)
Introduction:
When working on electric vehicles and charging equipment, safety comes first. Electrical systems can pose hazards, such as the risk of electric shock or fire. This is especially true during maintenance, repairs, and fault diagnosis. Not all hazards are immediately visible; a system that appears to be de-energized may still contain residual energy, for example because capacitors have not yet fully discharged.
To control these risks when working on electric vehicles, NEN standards have been established in the Netherlands. These standards provide a practical interpretation of the Working Conditions Decree and describe how to work safely on electrical systems. They define which working methods must be followed and which measures are needed to limit risks.
Within automotive technology a distinction is made between:
- work on the vehicle and
- work on electrical installations.

In daily practice, these areas regularly overlap. In the event of a fault in the charging process, for example, it is not immediately clear whether the cause lies in the vehicle, the charging equipment, or the charging cable. Because different standards apply to these components, a diagnostic technician must be able to determine which standard is applicable in order to carry out the work safely and in accordance with the correct procedures.

This page provides insight into the certifications required when working on e-vehicles and charging systems. The information is by no means intended as a replacement for official documentation from car manufacturers, training documentation that can lead to certification, or the official standards and publications of NEN. Are you interested in obtaining an NEN certification to work on e-vehicles or charging systems? Then I can recommend the courses offered by FOM (Future Of Mobility)!
Body resistance:
Body resistance is the resistance the body offers against electric current. The resistance is expressed in ohms. The image alongside shows the composition of the resistances in the limbs of a human body. From basic electrical engineering we know that if we connect the positive and negative terminals of a voltage source to a circuit containing resistors, current will flow. The same applies to the human body when components of an electrical system through which current flows are touched.
- At low voltages, the resistance of the skin provides sufficient insulation to prevent current from flowing through the body. That is why a mechanic can safely touch both battery terminals of a 12-volt battery (or two 12-volt batteries in series on a truck) with both hands at the same time;
- At high voltages, the skin resistance can decrease significantly due to puncture or burns. Muscle tissue and blood are good conductors. The body resistances determine how much current will flow at a given applied voltage.
The current through the body can range from noticeable to life-threatening. The human body is more sensitive to AC voltage than to DC voltage. Below, the current levels in AC and DC and their effects are shown.

With AC, relatively low current can already cause cardiac arrhythmias. That is why AC is particularly dangerous around mains frequency (50 Hz). With DC, cardiac arrhythmia occurs less quickly than with AC, but high currents still cause severe burns and cardiac arrest. Work on high-voltage systems of electric vehicles mainly takes place on the DC section, because the AC is only formed between the inverter and the electric motor when the system is in operation. At the moment the HV system is switched off, components are replaced, or modules in the battery pack are dismantled, work is done exclusively on DC (direct current).
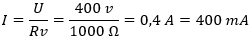
Practical hazard 1:
When a technical specialist has opened a battery pack and touches the metal connectors between the modules that carry a voltage of 400 volts, the current strength depends on the resistances in the body. How dangerous this is also depends, among other things, on how long the contact lasts. More on that later.
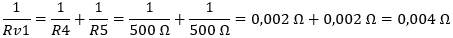
To determine the current through the body, we first calculate the equivalent resistance of the series circuit:

We calculate the current flowing through the body using Ohm’s law:
This current level is immediately life-threatening.
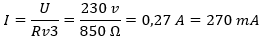
Practical hazard 2:
An electrician touches a live conductor carrying 230 V (AC) with one hand. Through the feet, a path to earth is created. We calculate the equivalent resistance (Rv1) of the legs (parallel), then the series connection of the arm and torso (Rv2), and add these equivalent resistances together (Rv3):
We calculate the current flowing through the body using Ohm’s law:
This current level can be tolerated for 0.2 seconds before it becomes life-threatening. Time is therefore a major factor in how dangerous a current is. This is explained in the next paragraph.
The current level and the duration for which the current flows are the greatest hazards. The graphs below show four colored areas that indicate the danger of current strength in relation to time.
- Green: externally not noticeable;
- Yellow: externally noticeable, muscles cramp;
- Orange: muscle cramping, difficult breathing, letting go independently is no longer possible;
- Red: burns, respiratory arrest, cardiac arrest, so this area is life-threatening.
Effects of alternating current:
- Below 0.5 mA nothing is yet noticed by a person;
- 10 mA can be tolerated for about 2 seconds before muscles start to cramp, and at 50 mA this occurs at about 100 ms;
- 500 mA is already immediately life-threatening.
Effects of direct current:
- Below 2 mA nothing is yet noticed by a person;
- 80 mA can be tolerated for about 100 ms before muscles start to cramp;
- 500 mA is already immediately life-threatening.
NEN 9140 (working on vehicles):
For electric vehicles and mobile electric machinery, the NEN 9140 standard applies. This standard covers work on high-voltage systems in vehicles and focuses on vehicle-specific components such as the HV battery, the inverter, the electric motor, the on-board charger, and the air-conditioning compressor. Mechanics and diagnostic technicians who work on HV systems must be demonstrably trained and authorized through certification.
If a workshop does not work on electric vehicles, they do not need to have additional certification.
NEN 9140:2024 applies to e-vehicles in voltage class B. This concerns systems with:
- an alternating voltage from 30 V AC up to and including 1000 V AC;
- a direct voltage from 60 V DC up to and including 1500 V DC.
The standard describes how these risks must be controlled during work on the vehicle. This includes, among other things, safely de-energising the vehicle, checking whether the HV system is actually free of voltage, and using the correct personal protective equipment. In addition, it specifies what level of knowledge and experience is required of the technician to carry out this work independently and responsibly.
As long as work is carried out directly on the vehicle or the vehicle system, such as when diagnosing the HV system, de-energising the vehicle or performing measurements on vehicle components, NEN 9140 applies. In the image alongside you can see the service plug of a Toyota that can be used to switch the system to a de-energised state.

In the case of faults in the charging process, however, the cause does not always lie in the vehicle itself. The charging process consists of an interconnected whole of the vehicle, the charging device and the charging cable. For a correct diagnosis, these components must be assessed together, because a defect in one of the components can affect the operation of the entire system. The charging device and the charging cable are not part of the vehicle and therefore fall outside the scope of NEN 9140.
These components are regarded as electrical installations, for which the NEN 3140 standard applies.
This standard applies to electrical installations and electrical tools with an alternating voltage up to and including 1000 volts AC and a direct voltage up to and including 1500 volts DC.
For charging problems where measurements are carried out on the electric car, the charging cable and the wallbox, work must be performed in accordance with NEN 3140. For a diagnostic technician, it is therefore essential to determine during troubleshooting which standard applies, because the correct choice of standard is decisive for a safe and responsible execution of the work.

Persons and designations:
The NEN 9140 standard sets requirements for persons who carry out work on or in the vicinity of electric vehicles. Everyone who works with e-vehicles must have sufficient knowledge of the existing safety risks, the applicable safety rules, company regulations, relevant factory data and the correct use of personal protective equipment. This knowledge is necessary to be able to carry out work safely and responsibly.
Within NEN 9140, persons are classified into different categories based on their knowledge, understanding, experience and competences. To comply with occupational health and safety legislation, these persons must be designated in writing by the person responsible within the company. These are:
- sufficiently instructed person (VOP): may only perform work under clear instructions and adequate supervision.
- skilled person (VP): has sufficient training and experience to carry out work on HV systems independently;
- person in charge of work (WV): is responsible for the safe organisation and execution of work on electric vehicles.
The standard also refers to the “layperson”, stating that a layperson is not allowed to perform any work on EVs.
Only persons designated in writing may perform work on electric vehicles and only within their authority. Persons without technical training, such as sales staff or receptionists, are considered laypersons and may not perform any work on electric vehicles. For maintenance work, an automotive technician must at least be designated as an EV-sufficiently instructed person. Work on high-voltage components, such as repairs to an HV battery, may only be carried out by an EV-skilled person.
When designating, a distinction is made between level of education and expertise.
- The level of education determines whether someone is eligible for a particular category.
- Expertise is built up through education, training and practical experience.

An automotive technician with education level 2 therefore cannot be designated as an EV-skilled person, even with extensive experience and additional courses, but can be designated as an EV-sufficiently instructed person. An automotive technician with MBO level 3 can be designated as an EV-skilled person, provided that he or she has demonstrably been trained for work on electric vehicles, has sufficient practical experience and has been designated in writing for this by the employer. A diagnostic technician at MBO level 4 also meets these conditions and, due to his or her broader technical and diagnostic knowledge, is in practice the most suitable to be deployed as an EV-skilled person or to progress to EV-person in charge of work.
Procedures:
Safe working on electric vehicles requires fixed and well-considered work procedures. These procedures ensure that electrotechnical risks are controlled and that work is carried out in a predictable and safe manner. NEN 9140 describes these work procedures as a logical sequence of steps, always starting from risk assessment, clear responsibilities and controlled execution.
Before any activity, the present risks must be identified. This involves looking at the condition of the vehicle (damage?), the nature of the work and the environment in which the work is carried out. Based on this, it is determined which working method will be used: working de-energised, working at a safe distance or, in exceptional cases, working under voltage. Working de-energised is always preferred, as this removes the electrical hazard as much as possible.
When working de-energised on the HV system, a fixed sequence is always followed. This sequence is intended to prevent the risk of electric shocks and unintentional switching on.
- The vehicle is secured against unintentional movement by applying the parking brake and removing the key or keyless transmitter. The vehicle must not be able to drive off or be activated unexpectedly;
- The power source is physically separated from the HV system. This can be done by removing the service plug, which disconnects two parts of the battery pack from each other. The interlock plug can also be disconnected so that the system cannot be switched on again. To prevent someone else from activating the vehicle during the work, a padlock can be fitted;
- Next, it is checked whether the HV system is actually free of voltage. This is done with a suitable measuring instrument, such as a Duspol. As long as this measurement has not been carried out, the system may not be considered safe and no work may be carried out on the HV system.
- After completion of the work, the vehicle is put back into operation according to a fixed procedure. It is checked whether all safety devices have been correctly refitted and whether the vehicle can be used safely.
To be allowed to work on high-voltage systems, specific personal protective equipment and safety equipment are prescribed:
- Safety helmet with face shield (protection against electrical and mechanical risks);
- Insulating gloves (for working on or near high-voltage parts);
- Protective work clothing, such as an insulating jacket and coveralls with reflective parts;
- Safety shoes or insulating overshoes (protection against electrical breakdown and mechanical injury);
- Insulating mat (for safely standing while working on electrical installations);
- Voltage tester (for example a Duspol or comparable two-pole measuring instrument);
- Insulated tools (such as pliers and screwdrivers suitable for HV work);
- Barrier materials such as cones or barrier posts (to mark the work zone);
- Warning signs and pictograms (high voltage, prohibition signs);
- Lockout-tagout equipment, such as locks, tags and a lockout pouch (for securing against re-energisation);
- First aid and intervention kit for electric vehicles.

Workplaces where electrical hazards may occur must be clearly marked and demarcated. Only authorised persons may enter these zones. Persons not involved must remain at a distance at all times to prevent the risk of accidents. Tools, measuring instruments and personal protective equipment must be suitable for working on HV systems and regularly checked to ensure they are in good condition.
Finally, good communication is essential. The EV-person in charge of work must ensure that all those involved know which work is being carried out, which risks are present and which safety measures apply. If, during the work, it appears that the situation is unsafe or deviates from expectations, the work must be interrupted immediately. Work may only be resumed after new measures have been defined and implemented.

In the image below, a module with cells from a battery pack of an EV is being dismantled. A large part of the procedure has already been followed, whereby the vehicle has been immobilised, de-energised, the area has been cordoned off with tape and cones, and personal protective equipment has been put on.
After removing the cover, the modules have been disconnected from each other. No current can flow from module to module anymore. In this way it has been ensured that work is carried out de-energised. After that, the modules can be removed. That moment is shown in the image.

In some situations, working de-energised is not possible, for example for specific measurements or functional checks. Working under voltage is then only permitted under strict conditions and may only be carried out by authorised and sufficiently competent persons. Additional requirements apply in terms of training, working methods, tools and personal protective equipment. The working environment must also be set up in such a way that risks are minimised.
Working under voltage:
Working under voltage on electric vehicles is only permitted within NEN 9140 in specific cases where working de-energised is technically not possible, for example for certain measurements or functional checks. Because increased risks are involved, working under voltage is considered an exceptional working method that may only be applied under strict conditions.
This work may only be carried out by authorised and competent persons, such as an EV-skilled person or an EV-person in charge of work. A risk analysis must be carried out in advance, in which, among other things, the nature of the voltage, the risk of contact and the risk of arc formation are assessed. Persons without designation may only be present under direct supervision.
Working under voltage must never become routine. Working de-energised is always preferred and working under voltage is only permitted when this is demonstrably necessary and all safety measures have been taken. This minimises the risk of electrical accidents during work on electric vehicles as far as possible.
Arc flash:
In HV systems, an arc flash can occur when a short circuit is caused with tools, insulation is damaged, or when work is carried out under voltage and conductors touch each other. An arc flash is an electrical discharge through the air between two conductors with a voltage difference. Normally, air is an insulator, but when the electric field strength is high enough, the air becomes ionised. As a result, the air temporarily becomes conductive and current can flow through it. Due to this very high current, a flash of light and a very high temperature are produced, which can be hazardous to health.
On the page Arc Flash this is discussed in more detail and calculations are shown with which the incident energy can be determined, so that the correct personal protective measures can be selected.
NEN 3140 (working on electrical installations):
The NEN 3140 standard relates to the safe operation of electrical installations.
Operation is understood to mean everything that happens with an electrical installation after it has been installed and put into service. This includes maintenance, inspections, measurements, repairs, implementing modifications, and recording work and inspections.
For charging installations this means that work such as measuring electrical parts, inspecting charging cables, replacing defective components and testing the installation after repair falls under NEN 3140. Installations that were safe at the time of commissioning can still present unsafe situations due to wear, damage or improper use. Therefore, NEN 3140 prescribes that work must always be carried out according to established procedures and with subsequent inspections at intervals of no more than five years.
The risk of touching a component that can cause a dangerously high voltage, short circuit or arc flash is high when working on electrical installations. It is therefore not permitted to perform work under voltage on, or in the vicinity of, a high-voltage system, unless there is a demonstrable necessity or an assignment has been given to the VP.

Persons and designations:
Within NEN 3140, work on electrical installations may only be carried out by designated persons. The employer is responsible for this designation and records in writing which tasks and responsibilities an employee has. If no person responsible for the installation has been designated, the employer is automatically the person responsible for the installation.
The person responsible for the installation (IV) has ultimate responsibility for the safety of the electrical installation. He or she determines under which conditions work may be carried out on the installation and establishes the necessary safety measures. The person in charge of work (WV) is responsible for the safe execution of specific activities and ensures that the agreed procedures are followed. The skilled person (VP) has sufficient knowledge and experience to carry out work on electrical installations independently. Persons without designation are not permitted to carry out any work on electrical installations.
High voltage (HV) and extra-low voltage (ELV):
NEN 3140 applies to electrical installations with an alternating voltage up to and including 1000 volts AC and a direct voltage up to and including 1500 volts DC. For very low voltage, the term extra-low voltage (ELV) is used. This concerns voltages that under normal circumstances do not present a hazard, such as 12-volt and 24-volt systems.
Although work on ELV circuits involves less risk, such work may not be carried out by everyone without limitation. Students and minors may only perform work on electrical installations when this fits within their level of education and under adequate supervision. Work on high-voltage parts or parts that are indirectly connected to higher voltages is not permitted for them.
Working on charging installations and outdoor conditions:
When working on charging installations, the working environment must be taken into account. When working on charging installations outdoors, work may not be carried out during thunderstorms or under conditions in which safety cannot be guaranteed. In rain or damp conditions, additional measures must be taken to limit the risk of electric shock. If this is not possible, the work must be postponed.
Tools, measuring instruments and personal protective equipment must be suitable for the work and be in good condition. The workplace must be arranged in such a way that unauthorised persons have no access to the hazard zone.
Relationship between NEN 3140 and NEN 9140:
For charging problems where measurements are carried out on the electric car, the charging cable and the wallbox, work is performed on electrical installations. In these situations, NEN 3140 applies. For a diagnostic technician, it is therefore essential to determine in advance whether he is working on the vehicle itself or on the electrical installation. The correct choice of standard determines which procedures must be followed and is therefore decisive for a safe and responsible execution of the work.
NEN 1010 (the installation of installations):
Before a charging installation, such as a public charging station or a wallbox at a home, is put into service, it must be installed correctly and safely. The requirements for this are laid down in the NEN 1010 standard. This standard describes how electrical installations must be designed and installed so that they operate safely for users and the environment.
When a charging installation such as a public charging station has been installed in accordance with NEN 1010, the electrical installation meets the national safety requirements. For the charging installation as an electrical product, international standards such as IEC 61851 also apply. This standard focuses specifically on the safe charging of electric vehicles and the communication between the vehicle and the charging installation. The distinction between NEN 1010 and NEN 3140 is essential here.
NEN 1010 focuses on the design and installation of the installation.
Once the installation has been put into service, NEN 3140 applies.
This standard describes how to work safely during use, maintenance, inspections and when making modifications. A charging installation that meets all requirements at the time of commissioning can, due to daily use, weather influences and mechanical stress, deteriorate over time. Examples include damaged connectors, worn charging cables or loosened connections in the installation.
To continue to ensure safety, periodic inspections are necessary. During these inspections, it is assessed whether the installation can still be used safely and complies with the applicable requirements.
Related pages: