Introduction:
The Wheatstone bridge is an electrical bridge circuit for accurately measuring a constant or changing electrical resistance. This circuit can be used to measure physical quantities such as temperature and pressure, as we see in the mass air flow sensor (temperature of the hot wire) and the MAP sensor (pressure in the intake manifold).
In the Wheatstone bridge there are four resistors, three of which have a known resistance and one with an unknown resistance. The bridge therefore essentially consists of two voltage dividers connected in parallel.
In the image we see the resistors R1 to R3 (known resistance values) and Rx (unknown), with a voltmeter in the middle of the two voltage dividers and a voltage source to the left of the bridge.
The Wheatstone bridge is in equilibrium or balanced when the output voltage between points b and c is equal to 0 volts. The following sections show different situations.
Wheatstone bridge in balance:
The Wheatstone bridge is balanced or in equilibrium when the output voltage is equal to 0 volts, because the resistance values on the left and right are in proportion to each other.
The circuit in this section is drawn differently than in the previous section, but is based on the same operation.
- the resistors R1 and R2 have a resistance of 270 and 330 Ω. Together this is 600 Ω;
- the resistors R3 and Rx have a resistance of 540 and 660 Ω. Together this is 1200 Ω.
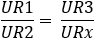
The ratios between the resistances on the left and right are equal. This makes the resistance ratios and the voltage drops between R1 and R3, as well as R2 and Rx, equal.
The equal resistance ratios and voltage drops are shown in the formulas below:
and ![]()
With a known supply voltage and resistance values, we can determine the voltage drops across the resistors, and thus the voltage difference between points b and c. In the example below we calculate the voltage difference between points b and c for a balanced Wheatstone bridge. Knowledge of Ohm’s law and calculations with series & parallel circuits is required.
1. calculate the currents through resistors R1 and R2 (RV = equivalent resistance):
![]()
2. calculate the voltage drop across resistors R1 and R2:

3. calculate the currents through resistors R1 and R2:![]()
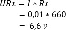
4. calculate the voltage drop across resistors R3 and Rx:

The voltage at points b and c is 5.4 volts. The potential difference is equal to 0 volts.
Unbalanced Wheatstone bridge (known resistance values):
As a result of a change in resistance of Rx, the Wheatstone bridge will become unbalanced. The change in resistance can occur due to, for example, a changing temperature, where Rx is a thermistor. The voltage divider between R1 and R2 will remain the same, but between R3 and Rx it will not. Because the voltage divider there changes, we obtain a different voltage at point c. In this example the resistance value of Rx has dropped from 600 Ω to 460 Ω.
1. calculate the currents through resistors R1 and R2:
![]()
2. calculate the voltage drop across resistors R1 and R2:

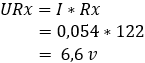
4. calculate the voltage drop across resistors R3 and Rx:

In the two examples the resistance value of Rx has changed from 660 Ω to 460 Ω. Due to this change in resistance, the voltage between b–c has changed from 0 volts to 1.08 volts. If this Wheatstone bridge is built into the sensor electronics, the voltage of 1.08 volts is regarded as a signal voltage. This signal voltage is sent to the ECU via a signal wire. The A/D converter in the ECU converts the analog voltage into a digital message which can be read by the microprocessor.
Wheatstone bridge with unknown resistance value:
In the previous sections we assumed a known resistance value for Rx. Because this resistance value is variable, we can go one step further by calculating this resistance value in order to bring the Wheatstone bridge into balance.
In this circuit, R1 and R2 are again 270 and 330 Ω. The resistance of R3 has been reduced to 100 Ω and Rx is unknown. If, in addition to the resistance value, the voltages and currents are also unknown, we can calculate the resistance value Rx in two ways:
Method 1:
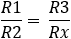
1. first we look at the general formula and then fill in the resistance values:
–> ![]()
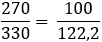
2. between 270 and 100 there is a factor of 2.7, as there is between 330 and the unknown value.
By dividing 330 by 2.7 we arrive at a resistance of 122.2 Ω.
![]()
Method 2:
1. using the general formula in which we multiply the resistors crosswise:
![]()
2. we rearrange the formula by moving Rx to the left side of = and dividing by R1. This again results in the resistance value of 122.2 Ω.
![]()

Of course we check whether we have a balanced bridge with the previously calculated resistance of 122 Ω.
The resistors R1 and R2 with the currents and partial voltages are the same as in the examples in sections 1 and 2, so they are considered known. We focus on the right-hand side of the bridge.
1. calculate the current through R3 and Rx:
![]()
2. calculate the voltage drop across resistors R3 and Rx:
The voltage difference between points b and c is 0 volts because resistors R1 and R3 both take up 5.4 V, so the bridge is now in balance.

Related pages: